Νέα φορολογική κλίμακα για μισθωτούς, συνταξιούχους, επαγγελματίες και επιβαρύνσεις από το ετήσιο εισόδημα των 9.091 ευρώ και πάνω θα περιλαμβάνει το φορολογικό νομοσχέδιο που θα καταθέσει η κυβέρνηση στην Βουλή την επόμενη εβδομάδα.
Ο υπουργός Οικονομικών Ευκλείδης Τσακαλώτος χαρακτήρισε την Τρίτη το φορολογικό νομοσχέδιο προοδευτικό, ανακοινώνοντας ότι το αφορολόγητο θα είναι 9.091 ευρώ, ενιαία φορολογική κλίμακα για εισοδήματα από μισθούς, συντάξεις και επιχειρηματική δραστηριότητα, τα εισοδήματα από ενοίκια θα φορολογούνται με τρεις συντελεστές (αυξάνονται από 11% σε 15% για όσους εισπράττουν εισοδήματα έως 12.000 ευρώ ενώ όσοι έχουν ετήσιο εισόδημα από 12.001 ευρώ και πάνω θα φορολογηθούν με συντελεστή τουλάχιστον 35%), τα μερίσματα αυτοτελώς με 15% (από 10%), ενώ η εισφορά αλληλεγγύης θα φορολογείται με «οριακούς συντελεστές».
Για παράδειγμα, για εισοδήματα 15.000 ευρώ η αύξηση σε ετήσια βάση θα είναι 61 ευρώ, την ώρα που, σύμφωνα με τον κ. Τσακαλώτο, οι θεσμοί ζητούσαν 240.
Η έκπτωση φόρου των 2.100 ευρώ που αντιστοιχεί σήμερα σε αφορολόγητο 9.550 ευρώ μειώνεται στα 2.000 ευρώ, από την οποία προκύπτει το αφορολόγητο όριο των 9.091 ευρώ, ενώ θα ισχύσει στο σύνολό της για εισοδήματα έως 20.000 ευρώ και στη συνέχεια θα μειώνεται κατά 10 ευρώ ανά 1.000 ευρώ εισοδήματος έως ότου εξαλειφθεί.
Έτσι, στις 21.000 ευρώ εισοδήματος η έκπτωση φόρου περιορίζεται στα 1.990 ευρώ, στις 22.000 ευρώ στα 1.980 ευρώ, στις 23.000 ευρώ στα 1.970 ευρώ και έτσι το έμμεσο αφορολόγητο εξαφανίζεται σε πολύ υψηλότερα εισοδηματικά κλιμάκια.
Η νέα φορολογική κλίμακα που προωθεί η κυβέρνηση για μισθωτούς, συνταξιούχους και ελεύθερους επαγγελματίες:
Επιπλέον, θεσπίζεται και νέα κλίμακα εισφοράς αλληλεγγύης η οποία θα επιβάλλεται σε όσους έχουν ετήσιο εισόδημα άνω των 12.000 ευρώ και λειτουργεί, επίσης, με υπολογισμό φόρου ανά κλιμάκιο. Η νέα κλίμακα της εισφορά αλληλεγγύης:
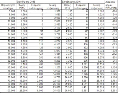
Αναλυτικά τι θα ισχύει για μισθωτούς - συνταξιούχους και ελεύθερους επαγγελματίες, μετά τις παραπάνω αλλαγές στο φορολογικό:
(Πίνακες: euro2day.gr)
Μισθωτοί- Συνταξιούχοι:
Ελεύθεροι επαγγελματίες:
ΠΗΓΗ
![]() |
| Photo: sooc |
Ο υπουργός Οικονομικών Ευκλείδης Τσακαλώτος χαρακτήρισε την Τρίτη το φορολογικό νομοσχέδιο προοδευτικό, ανακοινώνοντας ότι το αφορολόγητο θα είναι 9.091 ευρώ, ενιαία φορολογική κλίμακα για εισοδήματα από μισθούς, συντάξεις και επιχειρηματική δραστηριότητα, τα εισοδήματα από ενοίκια θα φορολογούνται με τρεις συντελεστές (αυξάνονται από 11% σε 15% για όσους εισπράττουν εισοδήματα έως 12.000 ευρώ ενώ όσοι έχουν ετήσιο εισόδημα από 12.001 ευρώ και πάνω θα φορολογηθούν με συντελεστή τουλάχιστον 35%), τα μερίσματα αυτοτελώς με 15% (από 10%), ενώ η εισφορά αλληλεγγύης θα φορολογείται με «οριακούς συντελεστές».
Για παράδειγμα, για εισοδήματα 15.000 ευρώ η αύξηση σε ετήσια βάση θα είναι 61 ευρώ, την ώρα που, σύμφωνα με τον κ. Τσακαλώτο, οι θεσμοί ζητούσαν 240.
Η έκπτωση φόρου των 2.100 ευρώ που αντιστοιχεί σήμερα σε αφορολόγητο 9.550 ευρώ μειώνεται στα 2.000 ευρώ, από την οποία προκύπτει το αφορολόγητο όριο των 9.091 ευρώ, ενώ θα ισχύσει στο σύνολό της για εισοδήματα έως 20.000 ευρώ και στη συνέχεια θα μειώνεται κατά 10 ευρώ ανά 1.000 ευρώ εισοδήματος έως ότου εξαλειφθεί.
Έτσι, στις 21.000 ευρώ εισοδήματος η έκπτωση φόρου περιορίζεται στα 1.990 ευρώ, στις 22.000 ευρώ στα 1.980 ευρώ, στις 23.000 ευρώ στα 1.970 ευρώ και έτσι το έμμεσο αφορολόγητο εξαφανίζεται σε πολύ υψηλότερα εισοδηματικά κλιμάκια.
Η νέα φορολογική κλίμακα που προωθεί η κυβέρνηση για μισθωτούς, συνταξιούχους και ελεύθερους επαγγελματίες:
- Από 0-20.000 ευρώ, φορολογικός συντελεστής 22%
- Από 20.001-30.000 ευρώ, φορολογικός συντελεστής 29%
- Από 30.001-40.000 ευρώ, φορολογικός συντελεστής 37%
- Ανω των 40.000 ευρώ, φορολογικός συντελεστής 45%
Επιπλέον, θεσπίζεται και νέα κλίμακα εισφοράς αλληλεγγύης η οποία θα επιβάλλεται σε όσους έχουν ετήσιο εισόδημα άνω των 12.000 ευρώ και λειτουργεί, επίσης, με υπολογισμό φόρου ανά κλιμάκιο. Η νέα κλίμακα της εισφορά αλληλεγγύης:
- 0% για εισόδημα έως 12.000
- 2,2% για εισόδημα από 12.001 έως 20.000 ευρώ
- 5% από 20.001 έως 30.000 ευρώ
- 6,5% από 30.001-40.000 ευρώ
- 7,5% από 40.001 έως και 65.000 ευρώ
- 9% από 65.001 έως και 220.000 ευρώ
- 10% από 220.001 ευρώ και πάνω
Αναλυτικά τι θα ισχύει για μισθωτούς - συνταξιούχους και ελεύθερους επαγγελματίες, μετά τις παραπάνω αλλαγές στο φορολογικό:
(Πίνακες: euro2day.gr)
Μισθωτοί- Συνταξιούχοι:
Ελεύθεροι επαγγελματίες:
ΠΗΓΗ



Δεν υπάρχουν σχόλια:
Δημοσίευση σχολίου